joha
joha
Резидент

Регистрация: 13.08.2011

Ярославль

Сообщений: 5743

04.01.2014 в 15:02:58

Сопротивление 1м 1мм.кв. 0,0178ом не китайской меди. Вот и считайте, 0,0178ом делим на сечение в мм.кв. и умножаем на длину в метрах

0
Анатолий4
Анатолий4
Резидент

Регистрация: 13.11.2011

Псков

Сообщений: 1199

04.01.2014 в 15:25:47

joha написал : Сопротивление 1м 1мм.кв. 0,0178ом не китайской меди. Вот и считайте, 0,0178ом делим на сечение в мм.кв. и умножаем на длину в метрах

Ага. И я о том же.

0
viktor1953
viktor1953
Резидент

Регистрация: 12.08.2010

Москва

Сообщений: 2415

04.01.2014 в 20:17:23

joha написал : Сопротивление 1м 1мм.кв. 0,0178ом не китайской меди. Вот и считайте, 0,0178ом делим на сечение в мм.кв. и умножаем на длину в метрах

Сейчас возьму бумажку где записывал и поточнее напишу. А если приврал прошу поправить. На катушке при постоянном токе 1 ампер 47,5 мв, следовательно R-0,0475 ома. На переменке 50 гц 0,29 вольта при токе 0,86 ампера. У меня вышло 0,337 ома и минус 0,0475 ома постоянки вышло 0,2895 ома чистой индуктивности (округлил до 0,29). Я брал удельное сопротивление меди 0,0172 из справочника связиста. С длинной на память, наврал, в бумажке 67 метров и 129 витков, средняя длинна витка 52 см. Конечно в каркасе точнее померить проблемно, да с толстой наружней изоляцией. Сечение шины по штангелю 10х2,5, а в справочнике сечение меди 24,5 кв. мм. Размер катушки внутри, 82х130 мм, длинна 260 мм. Толщина намотки с изоляцией примерно 25 мм. Как мне кажется, если я и наврал то не сильно.

Как я высчитал длину. уд. сопротивление 0.0172= общее 0,0475 ом умножить на сечение 24,5 кв мм и всё разделить на длину Х. У меня вышло 67 метров или я наврал, уж больно порядок дальнейших действий долго расписывать. Сейчас ещё посмотрю, что то мне тоже сейчас не нравится.

С уважением. Виктор.

0
viktor1953
viktor1953
Резидент

Регистрация: 12.08.2010

Москва

Сообщений: 2415

04.01.2014 в 20:27:04

joha написал : Сопротивление 1м 1мм.кв. 0,0178ом не китайской меди. Вот и считайте, 0,0178ом делим на сечение в мм.кв. и умножаем на длину в метрах

Получилось 65,337 метра. Разница в метр с мелочью из за моей удельной 0,0172. Ура не наврал. С уважением. Виктор.

0
joha
joha
Резидент

Регистрация: 13.08.2011

Ярославль

Сообщений: 5743

04.01.2014 в 20:34:20

0,2895 ома чистой индуктивности

так это индуктивное сопротивление на 50герцах, у меня получилось около 900мкГн (0,9мГн)

0
Вложение
viktor1953
viktor1953
Резидент

Регистрация: 12.08.2010

Москва

Сообщений: 2415

04.01.2014 в 20:38:21

ГОСТ написал : Считается, что с 25 мкГн - это уже могучий дроссель, даже слишком. Дуга может тянуться до 2 см. Стандартное, типа оптимальное, считается 6-8, а 12 пробовал - так дуга уже довольно сильно тянется. Профи покритиковал, а мне понравилась. Мягенькая такая и поджиг легкий.

А вот насчёт тягучести вроде как и было, даже может и чуть меньше, только тянется дуга жирная, в отличии от тоненькой без дросселя. Длинна примерно 10 мм, хотя надо попробовать специально. Но на последней катушке я не заметил чего то из ряда вон выходящего. Видно большая катушка полностью съедает 100 вольтовые импульсы и частично съедая и заполнение. С уважением. Виктор.

0
viktor1953
viktor1953
Резидент

Регистрация: 12.08.2010

Москва

Сообщений: 2415

04.01.2014 в 20:43:24

joha написал : так это индуктивное сопротивление на 50герцах, у меня получилось около 900мкГн (0,9Гн)

А я насчитал 0,92 мгн =920мкГн, Евгений, Гн=1000мГн=1000000мкГн, мне так кажется. И ещё вопрос, разве индуктивность от частоты зависит? С уважением. Виктор.

0
ГОСТ
ГОСТ
Резидент

Регистрация: 22.05.2010

Харьков

Сообщений: 6497

04.01.2014 в 20:55:05

только тянется дуга жирная, в отличии от тоненькой без дросселя.

Значит, "постоянки" больше. (Более сглаженная).

0
Klez
Klez
Резидент

Регистрация: 26.07.2013

Белгород

Сообщений: 2777

04.01.2014 в 20:55:25

viktor1953, А фото дросселя можно узреть?

0
ГОСТ
ГОСТ
Резидент

Регистрация: 22.05.2010

Харьков

Сообщений: 6497

04.01.2014 в 21:44:39

joha написал : я там уже поправил, в нулях ошибся

А мы продаем или покупаем ? :)

0
Анатолий4
Анатолий4
Резидент

Регистрация: 13.11.2011

Псков

Сообщений: 1199

04.01.2014 в 22:12:57

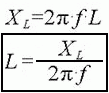
viktor1953 написал : И ещё вопрос, разве индуктивность от частоты зависит?

Так, частота в формуле анулируется.

0

Авторизуйтесь или зарегистрируйтесь, чтобы оставить комментарий.

Присоединяйтесь к самому крупному DIY сообществу